Приборы СВЧ и ОД   

Глава 3. Клистроны

назад | оглавление | вперёд

 

3.5 Отражательный клистрон

Принцип работы. Отражательные клистроны (рис. 3.14)предназначены для генерирования СВЧ колебаний малой мощности.

Клистрон имеет только один объемный резонатор 3, который должен выполнять две функции: модулировать скорость электронов и отбирать СВЧ энергию от модулированного по плотности электронного потока. За резонатором расположен отражатель 4 — электрод, на который относительно катода 1 подано отрицательное напряжение Uотр. Мощность колебаний, генерируемых клистроном, выводится из резонатора с помощью петли связи 5, переходящей в коаксиальную линию 6. Скорость электронов перед резонатором определяется напряжением U0 ускоряющего электрода 2.

Рассмотрим движение электронов с помощью пространственно-временной диаграммы (рис. 3.15).

Пусть в режиме стационарных колебаний между сетками резонатора существует напряжение u1(t). Электроны, ускоренные напряжением U0, входят в зазор резонатора, модулируются по скорости электрическим полем этих колебаний и поступают в пространство между резонатором и отражателем. Так как на отражатель подано отрицательное постоянное напряжение, электроны попадают в тормозящее электростатическое поле. Когда скорость электронов уменьшится до нуля, они начнут обратное движение к резонатору под действи того же электростатического поля, которое для них теперь является ускоряющим.

В результате движения электронов от резонатора к отражателю и обратно происходит их группирование. Электронные сгyстки образуются относительно невозмущенных электронов 2, выходящих из резонатора в момент времени, когда u1=0 при переходе от ускоряющего к тормозящему полупериоду СВЧ напряжения. Электрон 1, вышедший раньше и имеющий большую скорость, проникает в тормозящее поле на большее расстояние z, т. е. летит большее время, чем электрон 2, и может вернуться в зазор почти одновременно с ним. Электрон 3, выйдя из зазора позже электрона 2 и с меньшей скоростью, проникает в тормозящее поле на меньшее расстояние. Из-за уменьшения времени пролета он может вернуться в резонатор почти одновременно с электроном 2. На этом различии времен пролета ускоренных и замедленных электрон основано группирование электронного потока в отражательно клистроне.

Сгруппированный электронный поток должен возвращаться в резонатор в пределах того полупериода СВЧ напряжения на зазоре, который оказывает тормозящее действие. Тогда он отдаст часть своей кинетической энергии высокочастотному полю резонатора и поддерживает колебания в резонаторе (положительная обратная связь). Следует заметить, что полупериод, названный ускоряющим для электронов, идущих от катода, одновременно будет тормозящим для электронов, возвращающихся в резонатор под действием напряжения на отражателе.

Если электрон возвращается в резонатор при амплитудном значении тормозящего поля, то отдаваемая им кинетическая энергия максимальна. Очевидно, что сгусток отдаст наибольшую энергию СВЧ полю, если центральный его электрон (невозмущенный) приходит в момент максимума поля. Следовательно, как видно из рис. 3.15, для обеспечения этого требования для невозмущенного электрода угол пролета

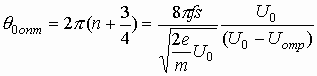
Оо опт=2πn+3/4), (3.24)

где n=0, 1, 2, ...— целое число, называемое номером зоны генерации, Оо опт — оптимальный угол пролета невозмущенного электрона в пространстве группирования.

Скорость электрона на выходе из зазора резонатора определяется уравнением скоростной модуляции:

(3.25)

где v1=M1U1ve/2U0; t1 — момент прохождения электрона через центр зазора в “прямом” направлении; U1 — амплитуда синусоидального напряжения между сетками резонатора.

Электрон со скоростью и попадает в пространство между резонатором и отражателем, где на него действует электрическое поле напряженностью Е. Считая поле между сеткой резонатора и отражателем однородным, находим напряженность электрического поля

E=(U0-Uотр)/S (3.26)

где U0 — постоянное напряжение между катодом и резонатором; Uотр<0 — напряжение на отражателе; s — расстояние между второй сеткой резонатора и отражателем.

Под действием поля напряженностью Е электрон двигается равнозамедленно до определенной точки z=z', в которой скорость его станет равной нулю и начнется движение в обратном направлении. Уравнение движения электрона для данного случая (электрон движется вдоль силовых линий электрического поля по оси z) можно записать

m(d2z/dt2) = -eE. (3.27)

Поместим начало координат z=0 в плоскости второй сетки. Интегрируя (3.27) и используя начальные условия: t=t1, dz/dt=v, получим

Z = 0.5(eE/m)(t – t1)2+v(t – t1), (3.28)

где v — скорость электрона в плоскости второй сетки, которая определяется (3.25). Время пролета электрона в пространстве группирования от второй сетки до точки поворота и обратно можно найти из условий z=0, t=t2. Через t2, обозначим время возвращения электрона в плоскость рассматриваемой сетки. Применяя эти условия к (3.28), получаем два решения:

t2 – t1 = 0; (eE/2m)(t2 – t1) – v = 0

первое решение тривиально, а второе позволяет определить время пролета электронов

τ = (t2 – t1) = 2mv/eE (3.29)

Подставив в (3.29) значение Е из (3.26), получаем

τ = (2m/e)[sv/(U0-Uотр)] (3.30)

Так как скорость невозмущенного электрона, находящегося в центре сгустка, не изменяется при первом прохождении высокочастотного зазора, то вместо v можно в (3.30) подставить ve. Подставляя затем (3.30) в (3.24), получаем

(3.31)

где f — частота генерируемых колебаний.

Формула (3.31) позволяет при данных f, s и U0 определить ряд значений Uотр, необходимых для получения оптимальных углов пролета, соответствующих различным номерам n. С ростом номера n необходимое абсолютное значение напряжения |Uотр| уменьшается. Этот вывод очевиден, так как, чем больше номер n, т.е. больше угол пролета θ0, тем слабее должно быть тормозят поле (3.26), создаваемое отражателем. На рис. 3.16, а показаны пространственно-временные диаграммы, соответствующие оптимальным углам пролета при n=3, 2 и 1.

Передача энергии от электронного сгустка СВЧ полю резонатора должна ухудшаться, если угол пролета отличается от оптимального, и полностью прекратится, если невозмущенный электрон, являющийся центром сгустка, возвращается в резонатор в моменты нулевого поля, т. е. при θ0 опт —π/2 θ или θ0 опт+π/2. Β этих случаях половина электронов попадает в ускоряющее поле резонатора, а вторая половина — в тормозящее: в среднем, сколько энергии отбирается от поля, столько же передается ему потоком электронов.

Таким образом, вблизи каждого оптимального угла пролета имеется область значений ±π/2, в пределах которой возможна передача энергии от электронного тока СВЧ полю и генерация колебаний. Следовательно имеется ряд областей значений Uотр, соответствующих различным номерам n, в которых в возможна генерация колебаний. Поэтому зависимость мощности колебаний напряжения отражателя имеет зонный характер (рис. 3.16б), а номер n называется номером зоны генерации.

Параметры и характеристики. На рис. 3.16, б представлена зависимой генерируемой клистроном мощности от напряжения на отражателе. В центре каждой зоны мощность колебаний максимальна и соответствует прохождению сгустка электронов в момент максимального тормозящего поля между сутками резонатора. Из (3.31) можно получить выражение для напряжения отражателя, при котором выходная мощность максимальна (центры зон).

Вычислим разность фаз вылета электрона и его возвращения в центр зазора, воспользовавшись (3.29) и (3.26):

(3.32)

Подставляя в (3.32) значение v из (3.25), имеем

(3.33)

Первый член в правой части (3.33) — невозмущенный угод пролета θ0, соответствующий движению от второй сетки к отражателю и обратно. Тогда (3.33) можно представить в виде

(3.34)

где параметр группирования с учетом v1 из (3.25)

(3.35)

Соотношение (3.34) аналогично по форме (3.7), полученному для двухрезонаторного клистрона, но отличается от него знаком перед последним слагаемым.

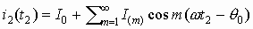
Отличие в знаке объясняется тем, что группирование идет около невозмущенного электрона, смещенного на полпериода по сравнению с пролетным клистроном (см. рис. 3.3 и 3.15). Конвекционный ток отражательного клистрона рассчитывается, как в пролетном клистроне, и изменяется во времени так же, как показано на рис. 3.5. Спектр конвекционного тока аналогичен (3.14):

(3.36)

Как и в теории пролетного клистрона, получаем выражение для амплитуды первой гармоники конвекционного тока

(3.37)

амплитуда первой гармоники наведенного тока в выходном резонаторе

(3.38)

где M1 — коэффициент электронного взаимодействия.

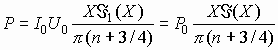
При оптимальном угле пролета (в центре зоны) максимальная мощность электронного взаимодействия

(3.39)

Подставляя в (3.39) амплитуду (3.38), получим

(3.40)

Используя (3.6), выразим U1 через параметр группирования:

(3.41)

Подставляя в (3.40) величину (3.41) и принимая θ0= θ0 опт=2π(n+3/4), получим

(3.42)

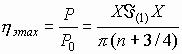
Соответственно в центре зоны максимальный электронный КПД

(3.43)

Однако (3.42) и (3.43) дают большую ошибку при малых номеpax зон (n=0; 1), так как принятое в теории предположение U1<<U0 в этом случае не выполняется.

Электронный КПД отражательных клистронов в различны зонах оказывается неодинаковым и уменьшается с ростом номера зоны n. Максимальный электронный КПД отражательны клистронов оказывается ниже, чем у пролетных клистронов. Реально достижимые значения полного коэффициента полезного действия отражательного клистрона не превышают нескольких процентов.

Одно из замечательных свойств отражательного клистрона, определивших широкое использование его в различных радиотехнических устройствах, — электронная перестройка частоты — явление изменения частоты генерируемых колебаний при изменения напряжения на отражателе или ускоряющего напряжения (рис 3.16 б).

Изменение напряжения на отражателе приводит к изменению угла пролета невозмущенного электрона и фазового сдвига между первой гармоникой конвекционного тока и напряжением на резонаторе, т.е. к изменению сдвига фазы между гармоникой, наведенного тока и напряжением. Последнее эквивалентно изменению активной и реактивной проводимостей, вносимых в резонатор электронным потоком.

Выше был рассмотрен случай, когда угол пролета был равен θ0=2πn+3/4). При этом первая гармоника наведенного тока совпадает по фазе с напряжением между сетками резонатора, реактивная составляющая электронной проводимости равна нулю и частота совпадает с собственной частотой резонатора. Таким образом в центре зон частота равна собственной частоте резонатора ω0

Очевидно, что изменение частоты ∆ω от значения в центре зоны ω0 определяется фазо-частотной характеристикой резонатора, который должен скомпенсировать фазовый сдвиг, вносимый электронным потоком; ФЧХ определяется нагруженной добротностью Qн. Чем больше Qн, тем при меньшем изменении ∆ω можно получить то же значение реактивной проводимости, вызванное изменением напряжения на отражателе. Расчет показывает, что зависимость ∆ω от добротности и изменения напряжения отражателя, а также от значения напряжения в центре зоны Uотр для различных номеров зоны n представляется формулой,

(3.44)

На практике используется только электронная перестройка частоты путем изменения напряжения на отражателе. Это объясняется тем, что ток в цепи отражателя равен нулю, и поэтому частотой клистрона можно управлять без затраты мощности.

Электронная перестройка характеризуется крутизной — отношением изменения частоты генерируемых колебаний к изменению напряжения на отражателе.

Из рис. 3.16 видно, что с увеличением номера зоны снижается максимальная электронная мощность в ней и возрастает крутизна кривой электронной перестройки. Электронная перестройка практически безынерционна, скорость изменения частоты ограничивается лишь переходными процессами в резонаторе и электронном потоке.

Важным параметром электронной перестройки является ее диапазон ∆f (т. е. область частот), в пределах которого электронная мощность изменяется на 3 дБ относительно максимального значения мощности в данной зоне (рис. З.16 б, в). Диапазон электронной перестройки отражательных клистронов обычно составляет около 0,5% средней частоты. Увеличить линейный участок характеристики электронной перестройки частоты около центра зоны можно путем введения дополнительного резонатора, связанного с основным.

Применение отражательных клистронов. Отражательные клистроны широко используются в различной аппаратуре в качестве маломощных генераторов. Основные преимущества их в сравнении с другими маломощными генераторами СВЧ заключаются в конструктивной простоте и наличии электронной перестройки частоты. Отражательные клистроны имеют также высокую надежность и не требуют применения фокусирующих систем.

Вследствие низкого КПД отражательные клистроны не используются для получения больших мощностей. Они применяются в качестве гетеродинов СВЧ приемников, в измерительной аппаратуре, в маломощных передатчиках, в радиорелейной, радионавигационной и телевизионной аппаратуре. В настоящее время отражательные клистроны вытесняются полупроводниковыми генераторами СВЧ, Для генераторов радиорелейных станций они имеют повышенную выходную мощность (1—10 Вт). Для диапазона волн от 60 до 4 см изготавливаются стеклянные клистроны с внешним резонатором с широким диапазоном перестройки частоты.

Для сантиметровых и миллиметровых волн выпускаются металлические клистроны с внутренним резонатором, диапазон перестройки которых не превышает ±10%. Некоторые металлические клистроны имеют устройство для быстрой механической перестройки частоты в виде кулачкового механизма, меняющего конфигурацию стенок резонатора. Внешний вид клистрона К-108 с внутренним резонатором и волноводным выводом энергии показан на рис. 3.17. Используется в передвижных маломощных телевизионных передатчиках.

Отражательные клистроны часто используются в режимах амплитудной или частотной модуляции. Наиболее распространенным и удобным способом модуляции в отражательных клистронах является изменение напряжения на отражателе, поскольку его цепь практически не потребляет мощности. При этом ускоряющее напряжение и ток пучка могут оставаться неизменными. Переменное модулирующее напряжение подается да отражатель клистрона. Получение только ЧМ при изменении напряжения на отражателе, как видно из рис. 3.16 — затруднительно. При изменении напряжения на отражателе наряду с частотой изменяется также и выходная мощность. Только при весьма неглубокой ЧМ в середине зоны, вблизи максимального значения выходной мощности, изменения амплитуд колебаний оказываются сравнительно небольшими. В противном случае необходим амплитудный ограничитель.

Рис. 3.17

Указанных трудностей можно избежать, если для управления амплитудой и частой колебаний одновременно использовать изменение напряжений на отражателе и резонаторе. Так как частота генерируемых, колебаний зависит не только от напряжения на отражателе Uотр, но и от ускоряющего напряжения на резонаторе U0, то представляется возможным при AM путем одновременного изменения по соответствующему закону напряжений резонатора и отражателя существенно снизить или даже практически устранить нежелательные изменения частоты. Однако это требует применения достаточно сложных схем.

Для повышения стабильности частоты отражательных клистронов используются стабилизирующие резонаторы с очень высокой добротностью, в том числе сверхпроводящие.

В настоящее время клистронов малой мощности коснулась тенденция миниатюризации. Реализация этого направления связана не только с решение конструктивно-технологических задач, но и с освоением новых режимов работы приборов. Миниатюризация — это не только уменьшение размеров прибора, но и снижение питающих напряжений, что позволяет уменьшить габариты и массу источников питания. Как показали исследования, для каждого значения подводимой к клистрону мощности питания Р0 существует низковольтная граница питающего напряжения U0 гр, за которой принципиально меняется характер процессов в электронных потоках клистронов. Величина U0 гр определяется формулой

U0 гр = 65,9 P02/5.

Физически это объясняется тем, что при заданной мощности снижение напряжения надо компенсировать увеличением тока, которое приведет к росту плотности пространственного заряда. При этом если не принять специальных мер, возникают специфические явления, связанные с недопустимо большим провисанием статического потенциала в потоке, нарушающим нормальную работу приборов.

Исследование природы этих ограничений позволило ученым разработать более совершенные конструкции миниатюрных пролетных и отражательных клистронов (последние получили название минитронов). Эти приборы имеют более высокие электрические параметры, чем их неминиатюрные аналоги, отличаются существенно меньшими габаритами и массой (единицы кубических сантиметров и грамм) и работают при существенно более низких напряжениях питания (десятки вольт при уровне выходной мощности в десятки милливатт).

Контрольные вопросы.

  1. Конструкция и принцип действия двухрезонаторного пролетного клистрона.
  2. Скоростная модуляция потока и ее превращения в модуляцию потока по плотности.
  3. Многорезонаторные клистроны – усилители, принцип действия, основные показатели и характеристики.
  4. Объяснить устройство и работу отражательного клистрона.
  5. Объяснить группирование электронов в сгустки при работе клистрона в различных зонах.
  6. Что такое электронная проводимость, и какую роль играет ее активная и реактивная составляющие?

назад | оглавление | вперёд