Метрология стандартизация и управление качеством   

Тема 6. Контрольное задание

назад | оглавление

 

Задача № 1

Для определения расстояния до места повреждения кабельной линии связи был использован импульсный рефлектометр. С его помощью получено n результатов однократных измерений (результатов наблюдений) расстояния до места повреждения.
Считая, что случайная составляющая погрешности рефлектометра распределена по нормальному закону, определить:
1. Результат измерения с многократными наблюдениями расстояния до места повреждения кабеля .
2. Оценку среднего квадратического отклонения (СКО) погрешности результата наблюдений (стандартную неопределенность единичного измерения) S;
3. Границы максимальной неопределенность случайной составляющей погрешности результата наблюдений Δ макс;
4. Оценку среднего квадратического отклонения погрешности случайной составляющей результата измерения (стандартную неопределенность результата измерения) S();
5. Границы доверительного интервала (расширенную неопределенность) для результата измерения расстояния до места повреждения e при заданной доверительной вероятности a ;
6. Записать результат измерения расстояния до места повреждения в соответствии с нормативными документами.
7. Систематическую составляющую погрешности измерения рефлектометра q , если после обнаружения места повреждения было установлено. что действительное расстояние до него составляло метров. Сравните ее с доверительным интервалом случайной составляющей погрешности результата измерения, и сделать вывод;
8.Предложить способ уменьшения оценки СКО случайной составляющей погрешности результата измерения в D раз.

Методические указания к решению задачи

1. Исходные данные контрольного задания определяют в соответствии с табл. 1.1, 1.2 и 1.3 по номеру варианта MN. Во второй строке табл. 1.1 и 1.2, обозначенной буквой i , указаны номера результатов однократных измерений (наблюдений) , которые входят в качестве исходных данных в соответствующий вариант контрольного задания. Таким образом, число единичных измерений и их числовые значения определяются обеими цифрами пароля (MN).

Таблица 1.1
M 0 I 2 3 4 5 6 7 8 9
i 1-5 5-10 10-15 15-20 20-25 25-30 30-35 35-40 40-45 45-50
275.4 272,3 278.1 272,8 278,4 272,7 279,0 271,5 279,0 274,4
D 2,0 2,1 2,2 2,3 2,4 2,5 2,6 2,7 2,8 2,9

Таблица 1.2
N 0 1 2 3 4 5 6 7 8 9
i 51-57 55-62 60-68 65-73 70-77 75-84 80-89 85-94 90-96 92-99
a 0,90 0,95 0,98 0,95 0,99 0,90 0,98 0,90 0,99 0,95

Таблица 1.3
i i i i i
1 274.35 21 273.95 41 273.92 61 275.30 81 277.78
2 274.57 22 274.23 42 274.95 62 275.23 82 273.91
3 276.68 23 274.32 43 276.10 63 275.52 83 275.75
4 276.17 24 273.38 44 272.67 64 276.03 84 276.48
5 275.81 25 278.03 45 274.07 65 276.56 85 273.43
6 273.50 26 274.72 46 273.02 66 273.75 86 274.60
7 276.65 27 276.87 47 274.65 67 274.76 87 273.03
8 275.81 28 277.00 48 275.52 68 274.24 88 272.71
9 273.28 29 275.34 49 275.47 69 277.07 89 274.94
10 275.30 30 275.98 50 276.72 70 274.56 90 275.28
11 276.86 31 275.61 51 275.15 71 277.37 91 274.31
12 274.95 32 276.41 52 275.40 72 275.25 92 271.99
13 275.73 33 274.50 53 275.09 73 276.89 93 274.09
14 274.91 34 273.64 54 273.35 74 274.90 94 273.24
15 277.92 35 274.85 55 273.86 75 275.89 95 276.75
16 274.53 36 276.56 56 275.66 76 276.40 96 274.73
17 272.91 37 275.18 57 273.83 77 276.08 97 274.69
18 276.70 38 274.37 58 277.08 78 274.00 98 274.92
19 275.35 39 277.17 59 276.20 79 274.92 99 275.08
20 275.30 40 274.74 60 274.63 80 274.33 100 274.49

Числовые значения и a приведены соответственно в третьей строке табл. 1.1 и 1.2, коэффициент D приведен в четвертой строке табл. 1.1, а числовые значения результатов однократных измерений (результатов наблюдений) - в табл. 1.3.
2. Прежде чем приступить к решению задачи, необходимо изучить соответствующие разделы электронного конспекта, §§ 4.1-4.3 и 4.5 четвертой главы учебного пособия [I] "Погрешности и математическая обработка результатов измерений" и §§ 2.1-2.3 и 2.7 второй главы учебника [2] "Элементы теории погрешностей". Импульсный метод измерения линий связи рассмотрен в [1] c.312-317;[2] c. 397- 403; [4] c. 219-292.
3. Решать задачу нужно в такой же последовательности, в какой приведены пункты контрольного задания.
4. Для удобства выполнения расчетов по п.п. 1, 2 и 3 задания, а также для сокращения времени на оформление работы необходимо составить таблицу промежуточных вычислений по форме, соответствующей табл. 1.4.
Во второй и третий столбцы табл. 1.4 вписываются номера и числовые значения результатов наблюдений (единичных измерений) расстояния , соответствующего варианта контрольного задания.

Таблица 1.4
№ п/п
№ изме-рений i Значения , м , м 2
1 2 3 4 5
1
 
 
 
 
 
 
 
 
2
 
 
 
 
 
 
 
 
3
.

 
 
 
 
 
 
 
.
n

 
 
 
 
 
 
 
 
 
 
 

В таблице 1.4 приведены следующие обозначения: - результат i-го наблюдения расстояния до места повреждения; - результат измерения расстояния до места повреждения кабеля.
5. В процессе решения в соответствующие расчетные формулы необходимо подставлять исходные данные и результаты промежуточных вычислений, записанные в конце третьего и пятого столбцов табл. 1.4.
6. Чтобы избежать накопления погрешностей вычислений в процессе расчета, промежуточные вычисления необходимо выполнять с использованием большего числа значащих цифр, чем число значащих цифр, которое приводят в конечном результате. Поэтому при заполнении четвертого столбца табл. 1.4 следует приводить минимум четыре значащие цифры (смотри раздел 5 п.6,7), при заполнении пятого столбца - до пяти значащих цифр. Соответственно при использовании его в качестве промежуточного значения следует округлить, если это потребуется, до шести значащих цифр. Промежуточные значения S и S() могут быть представлены четырьмя значащими цифрами.
7. Конечный результат для искомых величин S, S() должен быть записан отдельно и округлен в соответствии с МИ1317-86 (см. раздел 2).
8. В связи с тем, что число однократных измерений n в данном контрольном задании относительно невелико, доверительный интервал результата измерения расстояния до места повреждения должен быть рассчитан в соответствии с интегральным законом распределения Стьюдента. Коэффициенты распределения Стьюдента ta (n) для различных значений доверительной вероятности a и числа наблюдений n, приведены в [1] с. 413, [2] с. 418.
Следует иметь в виду, что в последней формуле, приведенной в [2] на с. 44, имеется несколько опечаток, и ею пользоваться нельзя. Расчет границ доверительного интервала e следует проводить по формуле e =ta (n) * S().
9. Результат измерения следует оформить в соответствии с нормативным документом МИ1317-86, требования которого подробно изложены в разделе 6, п. 6 - 8.
10. Систематическую погрешность измерения q можно найти как отклонение результата измерения от действительного значения измеряемой физической величины . Если последняя известна с достаточной точностью, то систематическую погрешность можно оценить как их разность q = - . Сравните полученное значение с границами доверительного интервала случайной составляющей погрешности результата измерения и определите – имеет ли место систематическая неопределенность или расхождение и можно объяснить случайными факторами.
11. При выполнении п.8 задания считаем, что результаты наблюдений распределены по нормальному закону. Точечная оценка дисперсии для результата наблюдений (квадрат СКО результата наблюдений) S2 при большом числе наблюдений (в пределе при n® к бесконечности) стремится к постоянной величине – дисперсии результата наблюдений s 2 [1] с.73. Известно [1] ф.4.24, [1] с.74, что оценка СКО результата измерения зависит от СКО результата наблюдений и числа наблюдений . Из этого выражения видно, что для изменения S() необходимо изменить n. Отсюда можно получить новое число наблюдений, которое позволит уменьшить S() в заданное число D раз.

Задача № 2

При определении вносимого ослабления четырехполюсника необходимо измерить абсолютный уровень мощности рн, отдаваемой генератором с внутренним сопротивлением Rг и ЭДС E в сопротивление нагрузки Rн (рисунок 2.1).


Мощность в нагрузке измеряют с помощью либо вольтметра V, либо амперметра А при нормальных условиях измерения. Показания этих приборов и их метрологические характеристики – условное обозначение класса точности и конечное значение шкалы прибора или диапазона измерения приведены в таблицах 1 и 2. В таблице 3 приведены: метрологические характеристики измерительного генератора – числовое значение сопротивления Rг и его относительная погрешность d Rг; сопротивления нагрузки – значения сопротивления Rн и его относительная погрешность d Rн.
В таблицах 2.1 и 2.2 указаны значения: показание вольтметра Uv; класс точности вольтметра; конечное значение шкалы или диапазон измерения вольтметра. Для амперметра приведены: показания амперметра IА; класс точности; конечное значение шкалы или диапазон измерения амперметра.

Таблица 2.1
M 0 1 2 3 4
Показание вольтметра Uv, В
7,2

-

11,52

-

15,4
Класс точности вольтметра %
2,5

-

1/0,5

-

Конечное значение шкалы вольтметра или диапазон измерения, В
0 ¸ 10
-
0 ¸ 20
-
0 ¸ 50
Показание амперметра IА, мА
-

19

-

45

-
Класс точности амперметра %
-

2

-

1,5

-
Конечное значение шкалы амперметра или диапазон измерения, мА
-

-50 ¸ 50

-

0 ¸ 100

-

Таблица 2.2
M 5 6 7 8 9
Показание вольтметра Uv, В
-

3,7

-

6,4

-
Класс точности вольтметра %
-

1,5

-

4

-
Конечное значение шкалы вольтметра или диапазон измерения, В
-

-10¸ 10

-

0 ¸ 10

-
Показание амперметра IА, мА
33,2

-

11

-

32,8
Класс точности амперметра %
0,5/0,2

-


-

0,5
Конечное значение шкалы амперметра или диапазон измерения, мА
0 ¸ 100

-

0 ¸ 30

-

0 ¸ 50

Таблица 2.3
N 0 1 2 3 4 5 6 7 8 9
Rг , Ом 600 135 75 50 600 135 75 50 600 135
Относительная погрешность,
d Rг, %

5,0

4,8

7,2

3,4

6,3

7,4

8,6

4,1

2,5

4,3
Rн, Ом 1300 700 450 300 1500 900 350 550 1700 1200
Относительная погрешность,
d Rн, %

1,5

2,0

3,5

4,2

1,5

5,0

2,4

4,6

2,0

1,8
Определить
абсолютный уровень напряжения

рUv

р

рЕ

рUv

р

рЕ

рUv

р

рЕ

р
Определить абсолютный уровень мощности
рг

рн

рS

рS

рг

рн

рн

рS

рг

рн

В зависимости от пароля, определяемого последними двумя цифрами M и N, необходимо определить в соответствии с таблицей 2.2:
1. Абсолютный уровень напряжения на сопротивлении нагрузки рUv или абсолютный уровень падения напряжения на внутреннем сопротивлении генератора р, или абсолютный уровень ЭДС генератора рЕ.
2. Абсолютный уровень мощности, выделяемой на внутреннем сопротивлении генератора рг, или абсолютный уровень мощности, выделяемой на сопротивлении нагрузки рн, или абсолютный уровень суммарной мощности, выделяемой на внутреннем сопротивлении генератора и сопротивлении нагрузки рS .
3. Оценить границы абсолютной погрешности измерения абсолютных уровней напряжения и мощности, определенных в п.1 и п.2.
4. Оформить результаты измерения абсолютных уровней напряжения и мощности в соответствии с нормативными документами.

Методические указания к решению задачи

1. Прежде чем приступить к решению задачи, необходимо изучить разделы курса, в которых рассматриваются погрешности прямых и косвенных измерений в электронном конспекте и [1] Гл. 4, §§ 4.3-4.5; [2] Гл. 2, §§ 2.3-2.5 . Кроме того, нужно вспомнить те разделы курса ТЭЦ, где изложены вопросы расчета мощности по заданным значениям сопротивления и напряжения или тока.
2. В предлагаемой задаче измерение уровней напряжений и мощностей является косвенным. Эти величины определяют через их функциональные зависимости от известных величин, определенных прямыми измерениями.
3.Методику оценки погрешности косвенных измерений Вы можете найти в электронном конспекте и в [1] стр. 80-82, [2] стр. 47. Абсолютные уровни рассматриваемых выше величин являются логарифмическими зависимостями. Подробные сведения об уровнях можно найти в разделах, в которых рассматриваются вопросы измерения ослабления (затухания) в электронном конспекте и в [1] с. 297-306, [2] с. 345-366.
4. Решение задачи необходимо начать с вывода аналитических выражений искомых уровней, в которые в качестве аргументов входят величины, подвергаемые прямым измерениям (они заданы в условии задачи). Затем необходимо вывести аналитические выражения для вычисления границ погрешности измеряемых уровней. Для определения коэффициентов влияния погрешностей аргументов на погрешность результата косвенного измерения необходимо вспомнить нахождение частной производной F/ xi, где F – функциональная зависимость искомой величины от измеренных аргументов (xi). Для нахождения частной производной воспользуйтесь математическими справочниками. В этой задаче необходимо много раз находить частную производную логарифмической функции. Напомним, что производная (lg x) равна (lg e)/x. Где “е” основание натурального логарифма. После оценки погрешности прямых измерений по метрологическим характеристикам средств измерений, приведенным в таблицах 1, 2, 3., в найденные аналитические выражения подставляют числовые значения аргументов, приведенных так же в таблицах 1, 2, 3 и вычисленные ранее оценки погрешности.
5. Чтобы не накапливалась погрешность вычислений в процессе расчетов, промежуточные вычисления необходимо выполнять в соответствии с рекомендациями раздела 5 п.6.7.
6. Оформление результатов косвенных измерений должно быть выполнено в соответствии с МИ1317-86, подробно изложенными в разделе 5 п. 6 - 9.
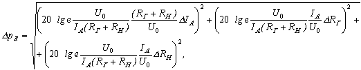
7. В качестве примера определим абсолютный уровень ЭДС Е, если известно значение протекающего тока через нагрузку IА. Используя закон Ома, выразим ЭДС Е через известные параметры: E = IА (Rг + Rн). Абсолютный уровень ЭДС Е равен ([1] с.301; [2] с.347): рЕ =20 lg(E/Uo)= = 20 lg ((IА (Rг + Rн))/ Uo), дБ ,
где Uo = 0,775 В при градуировочном сопротивлении равном 600 Ом.
Для оценки границ абсолютной погрешности измерения абсолютного уровня ЭДС воспользуемся выражением для оценки погрешности косвенного измерения ([1] с.81; [2] с.47)


Найдем частную производную функции рЕ по всем аргументам


так как U0 – является константой, погрешность которой пренебрежимо мала, поэтому влиянием этого аргумента можно пренебречь. После преобразований получим выражение:


в которое входят относительные погрешности аргументов и значения сопротивлений. Относительные погрешности сопротивлений и их значения заданы в исходных данных. Относительную погрешность амперметра можно оценить по классу точности прибора g : , откуда абсолютная погрешность , а относительная . (2) В этих выражениях Iнорм равно конечному значению шкалы прибора. В выражение 1 можно подставить числовые значения из исходных данных и выражения 2, тем самым оценить предел допускаемой абсолютной погрешности измерения уровня.

Задача № 3

На рисунке 2 показаны осциллограммы периодических сигналов, которые наблюдали на выходе исследуемого устройства .
Требуется найти:
  1. Аналитическое описание исследуемого сигнала.

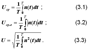
  2. Пиковое (Um), среднее (Uср ), средневыпрямленное (Uср.в) и среднеквадратическое (U) значения напряжения выходного сигнала заданной Вам формы.

  3. Пиковое (), среднее (), средневыпрямленное () и среднеквадратическое () значения напряжения переменной составляющей заданного выходного сигнала.

  4. Коэффициенты амплитуды (Ka, ), формы (Kф, ) и усреднения (Kу, ) всего исследуемого сигнала и его переменной составляющей.

  5. Показания вольтметров с различными типами преобразователей с закрытым (З) или открытым (О) входом в соответствии с заданием, если вольтметры проградуированы в среднеквадратических значениях для гармонического сигнала.

  6. Оценить предел допускаемой относительной погрешности (расширенной неопределенности) показаний вольтметров, определенных в 5 пункте задания, если используемые измерительные приборы имеют класс точности g и конечное значение шкалы (предел измерения) Uк указанные в таблицах 3.1 и 3.2.

  7. Оформить результаты измерений напряжения вольтметрами в соответствии с нормативными документами, если измерения проведены в нормальных условиях.

Таблица 3.1
N 0 1 2 3 4 5 6 7 8 9
Рис. 1.2 б в д ж г а к и з Е
Т, мкс 12 75 30 25 10 60 100 18 90 80
τ, мкс 4 30 15 15 5 20 50 9 60 20
Класс
точности g
0,5 0,2 2 0,6 0,15 2,5 1 1,5 0,4 0,25
Найти показания вольтметров UV1 СВ, О ПВ, З СВ, О СВ, З КВ, О КВ, З ПВ, О ПВ, З СВ, О СВ, З
UV2 СВ, З СВ, О ПВ, З ПВ, О СВ, З СВ, О ПВ, З КВ, О ПВ, З СВ, О
UV3 КВ, О КВ, З КВ, З КВ, О СВ, О ПВ, З СВ, З СВ, О КВ, З КВ, О
UV4 ПВ, З ПВ, О КВ, О ПВ, З ПВ, З КВ, О КВ, О КВ, З КВ, О ПВ, З

Обозначения в таблице:
  • ПВ – пиковый вольтметр;
  • СВ – вольтметр с преобразователем средневыпрямленных значений;
  • КВ – вольтметр с преобразователем среднеквадратических значений;
  • О – вольтметр с открытым входом;
  • З – вольтметр с закрытым входом.
Таблица 3.2
M 0 1 2 3 4 5 6 7 8 9
Uк, В 1 3 10 30 5 20 15 2 300 50
Um, В 0,75 1,5 6 21 3 15 12 1,2 270 35
k 0,25 0,3 0,15 0,2 0,12 0,18 0,22 0,28 0,32 0,35

Методические указания к решению задачи

1. Для выполнения данного задания достаточно изучить раздел измерение напряжения в электронном конспекте и §§ 2.2, 5.1 и 5.2 учебного пособия [1] и §§ 2.6, 3.2, 3.3 и 3.7 учебника [2].
2.. В задаче 3 рассматриваются вопросы измерения периодических несинусоидальных электрических сигналов u(t) различной формы. Напомним, что наиболее распространенными параметрами таких сигналов, на которые реагируют вольтметры, являются пиковые Um+ и Um- среднее Uср (постоянная составляющая), средневыпрямленное Uср.в и среднеквадратическое U значения напряжения. Последние три параметра являются интегральными. В общем виде они описываются следующими соотношениями:


Связь между указанными параметрами периодического сигнала описывается коэффициентами амплитуды Ka формы Kф и усреднения Ky. Эти коэффициенты соответственно равны:


Для самоконтроля при решении задач следует иметь в виду, что


3. Чтобы определить параметры Uср , Uср.в и U, нужно в приведенные выше формулы подставить аналитическое выражение u(t). Поэтому решение задачи необходимо начать с математического описания сигнала. Например, сигнал u(t), показанный на рисунке 3.1 а), можно описать следующим образом:


Коэффициенты линейной функции a и b легко определить из системы уравнений:
при t = 0: a+b*0 = Um ;
при t = t : a + b*t = 0 ; отсюда a = Um , b = - Um /t
Сигналы и) и к) на рисунке 2 на интервале от 0 до t имеют синусоидальную форму с частотой f = 1/2t .
Для определения параметров напряжения переменной составляющей сигнала нужно в формулы 3.1 ¸ 3.3 подставить аналитическое выражение переменной составляющей сигнала , которое легко найти, вычтя из сигнала u(t) среднее значение напряжения Uср :


Таким образом, для приведенного выше примера получим:


4. При определении показаний вольтметров необходимо учитывать, что приборы разных видов, в зависимости от типа применяемого преобразователя, реагируют либо на пиковое, либо на средневыпрямленное, либо на среднеквадратическое значения напряжения измеряемого сигнала. Тем не менее, шкалы большинства электронных вольтметров переменного тока градуируют, как правило, в среднеквадратических значениях напряжения гармонического сигнала (синусоидальной формы). В указанном случае только показания вольтметра с преобразователем среднеквадратического значения равны измеряемому параметру для любой формы измеряемого сигнала. При закрытом входе показание такого вольтметра равны среднеквадратическому значению переменной составляющей сигнала:
Показания пикового вольтметра и вольтметра средневыпрямленного значения, проградуированных в среднеквадратических значениях для гармонического сигнала, равны измеряемому параметру только для сигнала синусоидальной формы.
При этом показания пикового вольтметра с открытым входом UV(пик.откр) = Um /Ka.sin, с закрытым входом




Рисунок 3.1

Показания вольтметра, имеющего преобразователь средневыпрямленного значения, равны:


Здесь Ka.sin и Kф.sin - коэффициенты амплитуды и формы гармонического (синусоидальной формы) сигнала. Наиболее полно эти вопросы освещены в [1, с. 85-91], а также в [4, с. 172-176]. Однако, в примере 2, приведенном в [1], есть ошибки, поэтому будьте внимательны при его использовании.
Следует отметить, что шкалы импульсных вольтметров градуируют в пиковых значениях напряжения, т.е. в значениях, соответствующих типу преобразователя прибора. Для таких вольтметров показания равны пиковому значению сигнала при открытом входе UV(пик.пик.откр) = Um и пиковому значению переменной составляющей сигнала при закрытом входе
5. При оценке предела допускаемой относительной погрешности (расширенной неопределенности) показаний вольтметров d V, нужно иметь в виду, что предел допускаемой абсолютной погрешности ΔUпр , определенный по классу точности, не зависит от размера измеряемого напряжения (показания вольтметра).
6. Перед оформлением результатов измерения внимательно изучите раздел 6 настоящих методических указаний, округлите абсолютную погрешность показаний вольтметров и по этому критерию округлите показания вольтметров. Запишите результат измерения в форме:
UV ± ΔUпр ; P ; условия измерения. или
UV ± d V ; P ; условия измерения, где
P – вероятность, которую при отсутствии сведений о ней в метрологических характеристиках прибора, принимают равной 0,997.

Задача №4

При измерении частоты генератора методом сравнения (рис. 4.1) к входу канала горизонтального отклонения (канала "X") осциллографа приложен гармонический сигнал от генератора образцовой частоты:


а к входу канала вертикального отклонения (канала "Y") – гармонический сигнал исследуемого генератора:


где ω=2πƒ – круговая частота,
ƒ – циклическая частота,
ψ и φ – начальные фазовые углы образцового и исследуемого сигналов соответственно. Измерения проведены в нормальных условиях, границы относительной погрешности частоты образцового генератора d fобр определены с вероятностью P = 0.997.


Рисунок 4.1

Задание.

1. Определить по заданным значениям частот сигналов ожидаемое отношение числа точек пересечений фигуры Лиссажу с горизонтальной секущей nг к числу точек пересечений фигуры Лиссажу с вертикальной секущей nв.
2. Построить фигуру Лиссажу, которую можно наблюдать на экране осциллографа при заданных значениях Um обр , ƒобр , Um иссл , ƒиссл , ψ и φ , считая коэффициенты отклонения каналов Y (ko.в) и X (ko.г) одинаковыми и равными 1 В/см .
3. Оценить абсолютную Δƒcр и относительную δƒcр погрешности сравнения частот исследуемого и образцового генераторов, вызванную изменением фигуры Лиссажу, если за время, равное Т секунд, она повторно воспроизводилась 5 раз.
4. Оценить границы абсолютной Δƒиссл и относительной δƒиссл погрешности измерения частоты исследуемого генератора, если известны границы относительной погрешности частоты образцового генератора d fобр .
5. Записать результат измерения частоты ƒиссл в соответствии с нормативными документами в двух вариантах: 1) с указанием границ абсолютной погрешности; 2) с указанием границ относительной погрешности.
Исходные данные для решения приведены в таблицах 2.4 и 2.5.

Таблица 4.1
M 0 1 2 3 4 5 6 7 8 9
Um обр ,
В
3 1,5 2 2,5 2,2 3,5 2,8 4 1 1,8
ƒобр ,
Гц
1400 2800 4200 5600 1400 2800 4200 5600 1400 2800
φ,
рад
π/2 0 π 3π/2 π/2 π 3π/2 0 π/2 3π/2
d fобр ,
%
0,54 0,25 0,15 0,053 0,34 0,13 0,18 0,83 0,67 0,46

Таблица 4.2
N 0 1 2 3 4 5 6 7 8 9
Т,
с
6 4 16 9 7 8 12 15 5 10
ψ,
рад
0 3π/2 π/2 π π/2 3π/2 π/2 3π/2 π 0
ƒиссл,
Гц
4200 2800 1400 5600 4200 2800 1400 5600 2800 5600
Um иссл ,
В
1 3 1,5 2 3,5 3,8 4 3,2 2,5 1,7

Методические указания к решению задачи

1. Прежде чем приступить к решению задачи, необходимо изучить разделы измерение частоты и анализ формы сигналов в электронном конспекте и §§ 7.1 ¸ 7.4 и 8.1 учебного пособия (особое внимание обратите на изучение разделов 7.4 и 8.1) [1] и §§ 5.1, 6.1 ¸ 6.6 и 8.2 учебника (особенно внимательно изучите разделы 6.6 и 8.2) [2].
2. Решение задачи начните с определения кратности частот образцового и исследуемого генераторов путем сокращения дроби, равной отношению частоты образцового генератора ƒобр к частоте исследуемого ƒиссл , до простых чисел. Это позволит определить наиболее целесообразные масштабы для построения графика и найти соотношение nв / nг.
3. График необходимо выполнить в электронном виде или на миллиметровой бумаге с соблюдением всех рекомендаций, изложенных в п.8 основных требований к выполнению и правил оформления контрольного задания. При этом нужно помнить, что координата Х на экране осциллографа пропорциональна мгновенному значению напряжения UX обр , а координата Y - UY иссл:
X = ko.г * UX обр ; Y = ko.в * UY иссл , где
ko.г и ko.в - коэффициенты отклонения горизонтального и вертикального каналов осциллографа соответственно.
При построении следует иметь в виду, что ψ и φ - это начальные фазовые углы напряжений UX обр и UY иссл , при которых начинает формироваться фигура Лиссажу. Они соответствуют началу отсчета времени на графиках для указанных выше напряжений, т.е. моменту времени t = 0. Для построения фигуры Лиссажу полностью необходимо, чтобы по оси времени UX обр было отложено nв периодов сигнала, а по оси времени UY иссл необходимо отложить nг периодов сигнала. На меньшем из периодов должно быть взято не менее четырех точек построения, а масштаб по осям времени и напряжения для сигналов UX обр и UY иссл следует взять одинаковым. После построения фигуры убедитесь, что отношение количества точек пересечений фигуры с горизонтальной секущей nг к количеству точек пересечений с вертикальной секущей nв соответствует отношению, определенному в п.1 задачи.
4. При расчете абсолютной Δƒср и относительной δƒср погрешности сравнения частот исследуемого и образцового генераторов, вызванной изменением фигуры Лиссажу во времени, следует иметь в виду, что для замкнутой фигуры Лиссажу, обладающей полной симметрией относительно вертикальной и горизонтальной осей, абсолютную погрешность рассчитывают по формуле Δƒср= Н/2T, а для всех остальных случаев Δƒср = Н/T , где Н - число повторений фигуры Лиссажу первоначальной формы за время Т. Разберитесь, в чем здесь причина (см. рис. 8.1 на с. 256 учебника [2]). В связи с тем, что направление вращения фигуры Лиссажу неизвестно, погрешности Δƒср и δfср могут принимать как положительный, так и отрицательный знак.
5. Оценка границ погрешности измерения частоты методом синусоидальной развертки (методом фигур Лиссажу). В этом случае осуществляется сравнение частот сигналов, поданных на входы X и Y осциллографа, по фигуре Лиссажу. Если фигура неподвижна, справедливо соотношение


где
- частота сигнала, поданного на вход X осциллографа;
- частота сигнала, поданного на вход Y осциллографа;
nг - максимальное число пересечений наблюдаемой фигуры Лиссажу с горизонтальной секущей;
nв - максимальное число пересечений наблюдаемой фигуры Лиссажу с вертикальной секущей.

Примечание: для избежания ошибок в определении числа пересечений, секущие не должны проходить через узел.
В этом случае относительная погрешность измерения частоты определяется двумя компонентами: относительной погрешностью частоты образцового источника и относительной погрешностью сравнения :


Связь границы абсолютной погрешности измерения частоты с границей абсолютной погрешности частоты образцового генератора легко установить с помощью методики оценки погрешности косвенных измерений (смотрите методические указания к задаче 2):


или, перейдя к относительным погрешностям, получим


6. Перед выполнением п.5 задачи внимательно изучите правила оформления результатов измерений, изложенные в разделе 6 (п.6-8) настоящих методических указаний.


назад | оглавление