|
Математический анализ |
|
Тема 2. Дифференциальное исчисление. |
назад | оглавление | вперёд |
Если в окрестности точки, график функции ниже касательной, то в окрестности этой точки график функции выпуклый.
Если в окрестности точки, график функции выше касательной, то в окрестности этой точки график функции вогнутый.

Теорема. В точке выпуклости 2-ая производная меньше 0. В точке вогнутости вторая производная больше 0.
Доказательство:
Если прямая проходит через точку
![]()
Применим теорему Логранжа: 
![]()
Поставим “-“ в Второй раз применим теорему Логранжа: Для вогнутости поставим “+”
,
учитывая, что
, тогда
должна
быть <0.



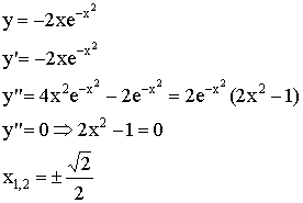
Точка, в которой вторая производная равна нулю, называется
точкой перегиба. ![]()
должно
быть >

|
|
|
|
|
|
|
|
y |
|
п |
|
п |
|
|
|
+ |
0 |
- |
0 |
+ |

назад | оглавление | вперёд