Математический анализ |
Тема 3. Интегральное исчисление |
назад | оглавление | вперёд |
3.3. Основные методы интегрирования
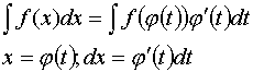
Замена переменных под знаком неопределенного интеграла.

Интегрирование по частям.
![]()
Доказательство:
(формула
дифференцирования произведения).
(интегрируем
обе части равенства)
(использование
основного тождества)
(что и требовалось
доказать).
Пример:
1) (замена переменной)

2) (интегрирование по частям)

Дополнительный материал
Интегрирование рациональных дробей. Простейшие дроби и их интегрирование.

Все коэффициенты действительные числа.
m , n – целые числа.
Нет общих корней.
Если
, то дробь называется неправильной, если
,
то дробь называется правильной.
Если дробь неправильная, то
, где
- правильная дробь;
- многочлен.
Простейшие дроби:
1.![]()
2.
,
и
целое число.
3.
( в знаменателе неприводимый квадратный трехчлен).
4.
,
и целое число.
![]()
=
=
=
=
=
=
Разложить рациональные дроби на простейшие.
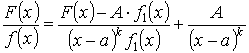
Теорема. Если х = а – корень знаменателя f(x) кратности k , то

Доказательство:
; (1)
Будем подбирать А так, чтобы
По теореме
Безу это возможно, если

Тогда ![]()
Подставим в (1) 
Следствие:

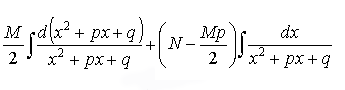
Теорема. Если
(
- неприводимый ква дратный трехчлен.
), то

Доказательство:

Подберем M и N так, чтобы числитель
делился на Y :

- по
теореме Безу.

![]()
M и N можно найти из этой системы всегда.
Следствие: всякая правильная рациональная дробь может быть разложена в сумму простейших дробей.
![]()
Пример:

Метод неопределенных коэффициентов.
Правую часть равенства (2) надо привести к общему знаменателю и приравнять в числители коэффициенты при одинаковых степенях F(x). Решая полученную систему уравне ний можно определить все коэффициенты.
Интегрирование рациональных дробей.
Интегрирование иррациональных функций
5.1. 
k – общий знаменатель дробей
- рационализирующая подстановка.
Пример:

5.2. 
k – общий знаменатель дробей ![]()
![]()
Пример:

5.3. Тригонометрические подстановки.

Пример:
- обратные
гиперболические функции.
![]()


![]()

![]()
![]()

![]()

назад | оглавление | вперёд