Математический анализ  

Тема 3. Интегральное исчисление

назад | оглавление | вперёд

3.4. Понятие определенного интеграла и его вычисление.

Определение и свойства.

S – область – криволинейная трапеция.

Интегральная сумма:

Определенным интегралом называется предел интегральной суммы.

Т.О существовании определенного интеграла”.

Если f(x) – непрерывна на отрезке (a,b), то определе нный интеграл существует и не зависит от порядка разбиения и выбора точек.

Геометрический смысл определенного интеграла – площадь криволинейной трапеции.

Свойства определенного интеграла:

  1. - аддитивность.
  2. на

Основные теоремы интегрального исчисления.

Т.1. об оценке”:

Пусть y =f(x) интегрируема на [a ,b] Тогда

Доказательство:

Т.2. “о среднем

Пусть y =f(x) интегрируема на [a ,b] Тогда - где f(c)среднее значение f(x) на [a ,b].

Доказательство:

По Т.1:

Т.к. f(x) – непрерывна на [a ,b], то она принимает все промежуточные значения от m до M. Следовательно она принимает значение А. Т.е. существует такая

Т.3. о производной определенного интеграла по переменному верхнему пределу

Пусть y =f(x) - интегрируема на [a , b] . Тогда

Доказательство:

Т.4. формула Ньютона-Лейбница

, где F(x) – первообразная для f(x).

Доказательство:

- первообразная для f(x) по Т.3. Т.к. первообразные отличаются на const, то Пусть х=а. F(a)+c=0. c=-F(x). Пусть x=b  

Методы вычисления определенного интеграла.

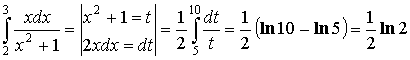
Замена переменных под знаком определенного интеграла.

Пример:

Интегрирование по частям в определенном интеграле.

Пример:


назад | оглавление | вперёд