|
Математический анализ |
|
Тема 1. Введение в анализ.Теория пределов. |
назад | оглавление | вперёд |
1.3. ПРЕДЕЛ ФУНКЦИИ. СВОЙСТВА ПРЕДЕЛОВ
Число b называется пределом функции
в точке а, если для любой
– окрестности точки b существует
– окрестность точки а.
![]()

– предел функции при
,
равный b.
Число b
называется пределом функции при неограниченном
возрастании аргумента
.
Для любого
существует
такое N,
и если
,
то
.

Примеры:
y = f(x) =
![]()
y = f(x) = x2 ![]()
Пример:
y =
,
когда
,
![]()
Неопределенности:
Раскрытие неопределенностей.
Теорема об ограниченности функции, имеющей предел.
Если функция f(x)
имеет предел в точке a
,то
она ограниченна в некоторой окрестности точки a.
Доказательство:
Пусть
,
тогда
,
отсюда получаем
.
Обратное неверно.
Контрольный пример:
в окрестности точки 0.
– не существует.
Бесконечно малой величиной
при
называется функция, предел которой в точке a
равен 0.
–
бесконечно малая величина (б.м.в.).
Бесконечно большой величиной
при
называется функция неограниченно возрастающая.
– бесконечно большая величина (б.б.в.)
Любая бесконечно большая величина неограниченна.
Теорема о связи предела и бесконечно малой величины.
Если
,
то
,
где
– бесконечно малая величина. Или
.
Доказательство:
Допустим, что
,
тогда
.
,
значит
,
– бесконечно
малая величина.
Пример:
f(x) = x2 + 1

Теорема о связи бесконечно малой и бесконечно большой величиной.
Если
– бесконечно малая величина при
– бесконечно большая величина.
Если
–
бесконечно большая величина при
– бесконечно малая величина.
Доказательство:
Допустим, что
– бесконечно малая величина при
,
то
,
что
.
Значит


Следствие:
и 
Свойства бесконечно малых величин:
1) Алгебраическая сумма бесконечно
малых величин есть бесконечно малая: ![]()
Доказательство:
![]()
или
,
значит
– бесконечно малая величина.
2) Произведение бесконечно малой
величины на ограниченную функцию есть бесконечно малая:
,
где f(x)
– ограниченная.
Доказательство:
![]()
,
значит
– бесконечно малая величина.
3) Частное от деления бесконечно малой величины
на любую функцию, предел которой не равен 0, есть бесконечно малая:
при
и
.
Теоремы о пределах.
Теорема 1. Предел
суммы равен сумме пределов, если они существуют:
Доказательство:
![]()
![]()
Из теоремы о связи между пределом и бесконечно малой величиной следует:
![]()
![]()
![]()
Получаем ![]()
![]()
Теорема 2. Предел
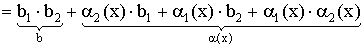
произведения равен произведению пределов, если они существуют:
Доказательство:
![]()
![]()
Из теоремы о связи между пределом и бесконечно малой величиной следует:
![]()
![]()
![]()
Получаем ![]()
![]()
Теорема 3. Предел
частного равен частному пределов:
.
При условии: все пределы существуют и
.
Доказательство:

![]()
Из теоремы о связи между пределом и бесконечно малой величиной следует:

;
Получаем: 

Теорема 4. Предел
сохраняет знак неравенства. Если ![]()
.
Доказательство:
![]()
Следовательно,
![]()
![]()
Следствие:

Теорема 5. Если
функция ограниченна и монотонна на (a,
b), то она имеет предел: ![]()
Теорема 6. Критерий Коши.
Если
,
тогда и только тогда
.
Приемы раскрытия неопределенностей.
1) Выделение общего множителя (для
неопределенности
).
Пример:
2) Умножение на сопряженное выражение
(для неопределенности
).
Пример:
3) Выделение главной части (для
неопределенности
).
Примеры:
;

Теорема. Первый
замечательный предел
.
Доказательство (геометрическое):

![]()
![]()
![]()



Так как
,
то
.
Следствия из теоремы:
1)
2) ![]()
3) 
4) 
5) ![]()
Теорема. Второй
замечательный предел
.
Доказательство:
Бином Ньютона:
,
где
.
Используем бином Ньютона для доказательства
неравенства: 

Отсюда заключаем, что
,
а значит
.
Следствия из теоремы:
1) ![]()
2) ![]()
3)
4) 
Доказательство:

Если принять, что
,
то 
Примеры:
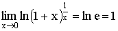
1) 
Учитывая, что
.
2) ![]()
.
Отсюда A = e.
Учитывая, что
.
Сравнение бесконечно малых величин (б.м.в.):
Пусть
– бесконечно малые величины при
,
т.е.
.
Определение 1.
Если
,
то
– б.м.в. одного порядка малости.
Определение 2.
Если
,
то
– б.м.в. более высокого порядка, чем
.
–
более высокого порядка, чем
("о" – читается как "о малое").
–
более низкого порядка, чем
("О" – читается как "О большое").
Определение 3.
Если
,
то
и
эквивалентны –
.
Следствие из определения
3:
при
.
Теорема. Если
и
эквивалентны (
)
, то
и
.
Доказательство:
Пусть
– бесконечно малые величины при
и они эквивалентны (
).
Тогда
.
назад | оглавление | вперёд